Bit-addressing

Media such as audio, images, and video are increasingly common in computer systems. Such data are represented by large arrays of small integers known as samples. Rather than wasting bits, samples are packed into memory. Figure combined illustrates three examples: monaural sound stored as an array of 16-bit values, a grayscale image stored as an array of 8-bit values, and 8-bit values compressed with run-length encoding. Figure rgbm3d shows a color image stored as interleaved 8-bit arrays of red, green, and blue samples. Such ordered collections of samples are called signals. A constant signal may avoid memory usage completely.


ps

Figure combined: Layout of (a) 16-bit monaural sound, (b) an 8-bit grayscale image, and (c) a run-length encoded array where multiple samples occupy the same location in memory. The heavy lines indicate 32-bit word boundaries.

We begin by considering only signals that are regular arrays. Say we specify a signal's representation with four integers: from and to are bit addresses; size and stride are numbers of bits. The signal itself is stored in memory as a array where the distance (in bits) between elements is the stride, and the number of bits per element is the size. I use little-endian addressing so the least significant bit of each word (LSB) has the least address of the bits in that word.

type baddress = int
type signal = baddress * baddress * int * int
           (* from       to         size  stride *)

Figure sum-signal gives the code to sum the elements of such a signal. As in Chapter intro, the examples use ML syntax extended with infix bit operations and a load_word primitive. This chapter assumes 32-bit words, but any other size could just as easily be substituted, even at run-time. The integer division (/) rounds toward minus infinity, and the integer remainder (%) has positive base and non-negative result. To simplify this presentation, load_sample does not handle samples that cross word boundaries. This procedure is the beginning of the bit-level abstraction.


fun sum (from, to, size, stride) r =
  if from = to then r else
  sum ((from + stride), to, size, stride)
      (r + (load_sample from size))

fun load_sample p b = ((1 << b) - 1) & ((load_word (p / 32)) >> (p % 32))


Figure sum-signal: Summing a signal using bit addressing. Use of equality instead of greater/less-than for the end-test is essential to support negative strides.

If I fix the layout of the input to sum by assuming that

  1. stride = size = 8 and
  2. (from % 32) = (to % 32) = 0
then the implementation in Figure fast-sum computes the same value, but runs more than five times faster (see Figure genspec). There are many reasons: the loop is unrolled four times, resulting in fewer conditionals and more instruction-level parallelism. The shift offsets and masks are known statically, allowing immediate-mode instruction selection. The division and remainder computations are avoided, and redundant loads are eliminated.


fun sum_0088 from to r =
  if from = to then r else
  let val v = load_word from
  in sum_0088 (from + 1) to
    (r + (v & 255) + ((v >> 8) & 255) +
    ((v >> 16) & 255)+ ((v >> 24) & 255))
  end

Figure fast-sum: Summing a signal assuming packed, aligned 8-bit samples as in Figure
combined(b).

Different assumptions result in different code. For example, sequential 12-bit samples result in unrolling 8=lcm(12,32)/12 times so that three whole words are loaded each iteration (see Figure twelve). Handling samples that cross word boundaries requires adding a conditional to load_sample that loads an additional word, then does a shift-mask-shift-or sequence of operations. The actual implementation appears in Appendix cache.


ps

Figure twelve: 12-bit signal against 32-bit words shown with abbreviated vertical axis.


This chapter shows how to use a specializer to derive code like Figure fast-sum from the code in Figure sum-signal automatically. First I introduce cyclic integers, which provide intelligent unrolling. Next, I show how to implement a cache in software to optimize loads and stores. Finally some limitations of this approach are revealed.

Cyclic Integers

This section shows how adding some rules of modular arithmetic to the specializer formalized in Chapter pe can unroll loops, make shift offsets static, and eliminate the division and remainder operations inside procedures like load_sample.

Figure domains2 defines the \\sf{}Cyclic domain, redefines \\sf{}M to include \\sf{}Cyclic as a possible meaning, and extends D to handle cyclic values. Whereas previously an integer value was either static or dynamic (either known or unknown), a cyclic value has known base and remainder but unknown quotient. The base must be positive. If the remainder is non-negative and less than the base, then I say the cyclic value is in normal form. For now, assume all cyclic values are in normal form.

Figure addmult0 gives one way to extend \\cal{}S for cyclic values. Again I assume cases not given are avoided by lifting, treating the primitives as unknown (allowing \\diamond to match any primitive), or by using the commutivity of the primitives. A case for adding two cyclic values by taking the GCD of the bases is straightforward, but has so far proven unnecessary. Such multiplication is also possible, though more complicated and less useful. The static result of multiplication by zero is a standard online optimization, but is not important to this work.


{ml {angle {b} {m q} {r}} {in} {Cyc} = {Z} {cross} {Exp} {cross} {Z}

{m m} {in} {M} = ... + {Cyc}

{R} {angle {b} {m q} {r}} = {frame-box {c {b}*{m q}+{r}}}
}
Figure domains2: Extending domains and D for cyclic values.


{ml {Spec} {frame-box {c {e0}+{e1}}} {rho} = match {tab-stop}({Spec} {e0} {rho}, {Spec} {e1} {rho})
      {tab}({angle {b} {m q} {r}}, {s}) {evalsto} {tab-stop}let {tab-stop}{m r'} = {m (r+s)} % {m b}
                {tab}{tab}{tab}{m q'} = {m (r+s)} / {m b}
            {tab}{tab}in {angle {b} {frame-box {m q+q'}} {m r'}}

{Spec} {frame-box {c {e0}*{e1}}} {rho} = match {tab-stop}({Spec} {e0} {rho}, {Spec} {e1} {rho})
      {tab}({angle {b} {m q} {r}}, {s}) {evalsto} {tab-stop}if {s} > 0 then {angle {s}{b} {m q} {s}{r}}
           {tab}{tab}else if {s} < 0 then error
           {tab}{tab}else 0
}
Figure addmult0: Addition and multiplication rules for cyclic values that maintain normal form.


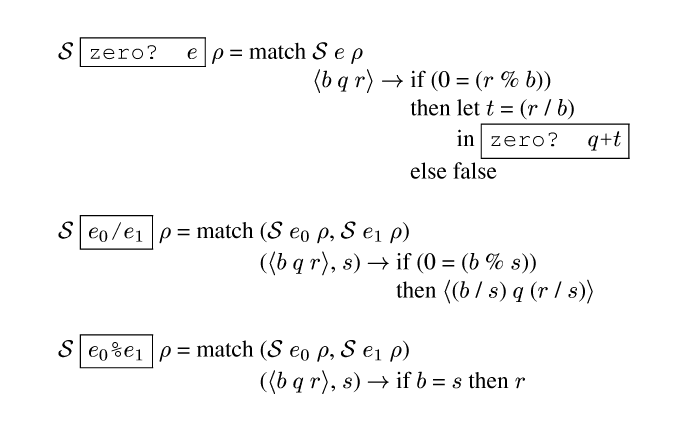
{ml {Spec} {frame-box {c zero? {e}}} {rho} = match {tab-stop}{Spec} {e} {rho}
        {tab}{angle {b} {m q} {r}} {evalsto} {tab-stop}if (0 = ({r} % {b}))
                  {tab}{tab}then {tab-stop}let {tab-stop}{m t} = ({r} / {b})
                       {tab}{tab}{tab}in {frame-box {c zero? {m q}+{m t}}}
                  {tab}{tab}else false

{Spec} {frame-box {c {e0}/{e1}}} {rho} = match {tab-stop}({Spec} {e0} {rho}, {Spec} {e1} {rho})
      {tab}({angle {m b} {m q} {m r}}, {m s}) {evalsto} {tab-stop}if (0 = ({m b} % {m s}))
      {tab}{tab}then {angle ({m b} / {m s}) {m q} ({m r} / {m s})} 

{Spec} {frame-box {c {e0}%{e1}}} {rho} = match {tab-stop}({Spec} {e0} {rho}, {Spec} {e1} {rho})
           {tab}({angle {m b} {m q} {m r}}, {m s}) {evalsto} if {m b} = {m s} then {m r}
}
Figure morerules: More rules for cyclic values.

Figure morerules gives rules for zero?, division, and remainder. In the case of zero?, if the remainder is non-zero modulo the base, then the specializer can statically conclude that the original value is non-zero. But if the remainder is zero, then we need a dynamic test of the quotient. This is a conjunction short-circuiting across stages.

These rules are interesting because the binding times of the results depend on static values rather than just the binding times of the arguments. The result is an example of what in partial evaluation parlance is called polyvariance in binding times.

The rules for division and remainder could also include cases that returned a dynamic result when the condition on the base is not met. But this would create larger or slower compilers and has not proven to be useful, so my systems just raise an error.

The approach of this chapter has been binding-time improvement by extending the specializer. Instead, one could rewrite the source program to make the separation apparent to an ordinary specializer. This can be done by defining (in the source language) a new type which is just a partially static structure with three members. The rules in Figures addmult0 and morerules become procedures operating on this type. The source program must be written to call these procedures instead of the invoking the native arithmetic (this is done with Similix in Appendix ba).

As it turns out, the rules in Figure addmult0 have several defects. Section npi explains them and a way to overcome them. Note that the solution presented there cannot also be implemented as a manual binding time improvement.


Now I explain the effect of cyclic values on the sum example from Figure sum-signal. The residual code appears in Figure resid1. Assumption 1 above directly means that from and to are cyclic. The end-test for the loop compares these values by calling zero? on the difference. As long as the remainders differ, the end-test is statically known to be false. Thus three tests are done in the compiler before it reaches an even word boundary, emits a dynamic test, and forms the loop. All shifts and masks are known at code generation time, allowing immediate-mode instruction selection on common RISC architectures. If one were compiling to VLSI hardware, this might be particularly useful, as these operations become almost free with good layout[footnote: VLSI represents data with voltages in wires on a two-dimensional surface. With Field Prorammable Gate Arrays (FPGA), the hardware can be reconfigured in about a millisecond. [SiHoMcA96] reports on using partial evaluation to dynamically reconfigure FPGA chips.].

These results depend on the style of input. For example the program in Figure badl represents a signal with its start address and length in samples. Since the loop works by counting the samples instead of comparing addresses, no conditionals are eliminated.


{ml {Spec} {m sum} [{tab-stop}{c from}{mapsto}{angle 32 {frame-box {c fromq}} 0}{space 5mm}{c to}{mapsto}{angle 32 {frame-box {c toq}} 0}
{tab}{c size}{mapsto}8{space 5mm}{c stride}{mapsto}8{space 5mm}{c r}{mapsto}{frame-box {c r}} ]
} -->
fun sum_0088 fromq toq r =
   if fromq = toq then r else
     sum_0088 (fromq + 1) toq
      (r + (((load_word fromq) >> 0) & 255) +
           (((load_word fromq) >> 8) & 255) +
           (((load_word fromq) >> 16) & 255) +
           (((load_word fromq) >> 24) & 255))

Figure resid1: Assumptions and residual code automatically generated by a specializer with cyclic values.


fun sum2 (from, length, size, stride) r =
  if length = 0 then r else
  sum ((from + stride), length-1, size, stride)
      (r + (load_sample from size))

Figure badl: A slightly different version of sum fails to specialize as well.


Note that the dynamic part of the cyclic values is represented by the quotient. See Section cyc-rep for more on this.

If the alignments of from and to had differed, then the odd iterations would have been handled specially before entering the loop. The generation of this prelude code is a natural and automatic result of using cyclic values; normally it is generated by hand or by special-purpose code in a compiler.

If we want to apply this optimization to a dynamic value and we can afford to spend some code-space, then we can use case analysis to convert the dynamic value to cyclic before the loop. This results in one prelude for each possible remainder, followed by a single loop, as explained in Section setbase.


Arbitrary arithmetic with pointers can result in values with any base, but once we are in a loop like sum we want a particular base. Set-base allows the programmer work around this. Figure sbe shows an example of its use. Section setbase explains its implementation.

(set-base {m m} {m b}) {evalsto} {angle {m b} {m d} {m r}}
While we currently rely on manual placement of set-base, we believe automation is possible because the analysis required appears similar to the un/boxing problem [Leroy92].


fun vector_signal from to stride size =
 let val from = set_base from 32
     and to = set_base to 32
 in
   fn s_get => load_sample from size
    | s_put => fn v => store_sample from size v
    | s_next => vector_signal (from+stride) to stride size
    | s_end => from = to
  end

Figure sbe: An example use of set-base. This code is from the higher-order implementation of the signal interface (Figure
sig). It is the only use of set-base in the implementation.

Multiple Signals

If a loop reads from multiple signals simultaneously, then in order to apply the these optimizations, it must be unrolled until all the signals return to their original alignment. Figure msig illustrates such a situation. The ordinary way of implementing a pair-wise operation on same-length signals uses one conditional in the loop because when one array ends, so does the other. Since our unrolling depends on the conditional, this would result in ignoring the alignments of one of the arrays.


ps

Figure msig: Reading a 16-bit signal and writing a 8-bit signal. The input only needs to be unrolled twice, but the output needs to be unrolled four times.

To solve this, we perform such operations with what normally would be a redundant conjunction of the end-tests. Figure binop illustrates this kind of loop. In both implementations the residual loop has only one conditional, though after it exits it makes one redundant test[footnote: Simple does this because its compiler to C translates while(E&&F)S to while(E)while(F)S. Nitrous does this because its input language is in continuation passing style].

Because 32 has only one prime factor (2), on 32-bit machines this amounts to taking the maximum of all of the signals. If the word-size were composite then more complex cases could occur. For example, a 24-bit machine with signals of stride 8 and 12 results in unrolling 6 times, as illustrated in Figure b24.


fun redbin (from0, to0, size0, stride0)
           (from1, to1, size1, stride1) =
   if ((from0 = to0) andalso (from1 = to1))
   then ()
   else (... ; redbin( ... ))

Figure binop: Looping over two signals.


ps

Figure b24: Reading a 8-bit signal and writing a 12-bit signal on a machine with 24-bit words.

Irregular Data Layout

The sum example shows how signals represented as simple arrays can be handled. The situation is more complex when the data layout depends on dynamic values. Examples of this include sparse matrix representations, run-length encoded vectors (Figure combined(c)) , and strings with escape sequences. Figure escape shows how 15-bit values might be encoded into an 8-bit stream while keeping the shift offsets static. It works because both sides of the conditional of v are specialized.

Read_esc is a good example of the failure of the dynamic-conditional heuristic. Unless we mark the recursive call as dynamic (so instead of inlining, the memo-table is checked), specialization would diverge because some strings are never aligned, as illustrated in Figure nonterm.


fun read_esc from to r =
    if from = to then r
    else let val v = load_sample from 8
	 in if v < 128 then
	     read_esc (from + 8) to (v + r)
	    else dcall read_esc (from + 16) to
		((((v & 127) << 8) |
		  (load_sample (from + 8) 8)) + r)
	 end

Figure escape: Reading (and summing) a string of 8-bit characters with escape sequences. Note use of dcall.


ps

Figure nonterm: A string with escapes illustrating need for dcall annotation in read_esc.

Sharing and Caching

The remaining inefficiency of the code in Figure resid1 stems from the repeated loads. The standard approach to eliminating them is to apply common subexpression elimination (CSE) and aliasing analysis (see Section 10.8 of [ASeUl86]) to residual programs. Efficient handling of stores is beyond such traditional techniques, however. We propose fast, optimistic sharing and static caching as an alternative.

We implement this by replacing the load_word primitive with a cached load procedure load_word_c. The last several addresses and memory values are stored in a table; when load_word_c is called the table is checked. If a matching address is found, the previously loaded value is returned, otherwise memory is referenced, a new table entry is created, and the least recently used table entry is discarded. Part of the implementation appears in Appendix cache. In fact, any cache strategy could be used as long as it does not depend on the values themselves.

The cache could be held in a global variable if the specializer supports them. We chose to transparently thread an additional argument through all calls and returns by changing its implementation language.

Note that safely eliminating loads in the presence of stores requires negative may-alias information (knowing that values will not be equal) [Deutsch94]. We have not yet implemented anything to guarantee this.

A conspicuous variable is the size of the cache. How many previous loads should be remembered? Though this is currently left to the programmer (with init-cache in Nitrous), automation appears feasible. In Nitrous, if the cache is too small then some redundant memory operations will remain; if the cache is too large then excessive and redundant residual code is emitted. In the Simple implementation, there are no dynamic conditionals inside of loops, so this is not an issue.

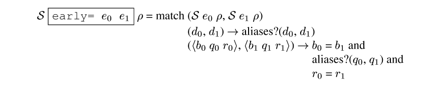
How does the cache work? Since the addresses are dynamic, the equality test of the addresses used to determine cache membership will be dynamic. Yet these tests must be static to eliminate the cache. Our solution is to use a conservative early equality operator for the cache-hit tests; it appears in Figure earlyequal.


{ml {Spec} {frame-box {c early= {e0} {e1}}} {rho} = match {tab-stop}({Spec} {e0} {rho}, {Spec} {e1} {rho})
     {tab}({d0}, {d1}) {evalsto} aliases?({d0}, {d1})
     {tab}({angle {m b_0} {m q_0} {m r_0}}, {angle {m b_1} {m q_1} {m
r_1}}) {evalsto} {tab-stop}{m b_0} = {m b_1} and
{tab}{tab}aliases?({m q_0}, {m q_1}) and
{tab}{tab}{m r_0} = {m r_1}
}
Figure earlyequal: Rule for early=.

This operator takes two dynamic values and returns a static value. The result is true only if the compiler can prove the values will be equal by using positive alias (aka sharing) information. The aliasing information becomes part of the static information given to compilers, stored in the memo tables, etc. For example, a procedure with three dynamic arguments can have five different versions (all equal, none equal, and three ways of two being equal).

In the Nitrous implementation the generated compilers keep track of the names of the dynamic values. The aliases? primitive merely tests these names for equality. Thus at compile time a cached load operation requires only a set-membership operation. These names are also used for inlining without a postpass (among other things), so no additional work is required to support early=. More explanation appears in Section mycogen.

The cache functions like a CSE routine that examines only loads, so we expect a cache-based compiler to run faster than a CSE-based one. But since CSE subsumes the use of a cache and is probably essential to good performance anyway, why do we consider the cache? Because CSE cannot handle stores, but the cache does, as explained below.

Like the optimizations of the previous section, these load optimizations have been achieved by making the compiler generator more powerful. Even more so than the previous section, the source program had to be written to take advantage of this. Fortunately, with the possible exception of cache size, the modifications can be hidden behind ordinary abstraction barriers.

Normalization

Now let us see the implication of sharing to the addition rule we defined in Figure addmult0. This addition rule contains a dynamic addition to the quotient. In many cases q' is zero so the addition may be removed by the backend. The Simple system works this way. There is a further problem, however: a dynamic addition causes the allocation of a new location, thus losing equality/sharing information (Figure lesi). The multiplication rule has its own defect: in order to maintain normal form we must dissallow negative scales.


{ml {Spec} {frame-box {c {e0}+{e1}}} {rho} = match {tab-stop}({Spec} {e0} {rho}, {Spec} {e1} {rho})
      {tab}({angle {b} {m q} {r}}, {s}) {evalsto} {angle {b} {m q} {m r+s} }

{Spec} {frame-box {c {e0}*{e1}}} {rho} = match {tab-stop}({Spec} {e0} {rho}, {Spec} {e1} {rho})
      {tab}({angle {b} {m q} {r}}, {s}) {evalsto} {tab-stop}if {s} > 0 then {angle {s}{b} {m q} {s}{r}}
           {tab}{tab}else if {s} < 0 then {angle -{s}{b} {frame-box {c -{m q}}} {s}{r}}
           {tab}{tab}else 0
}
Figure addmult1: Rules for addition and multiplication that depend on late normalization.


let val y = (set-base y 4)
    val x = y
    val yy = y + 4
    val xx = x + 4
in (early= xx yy)
end

Figure lesi: With addition rule from Figure
addmult0 this would evaluate to false, but with the rule from Figure addmult1, it evaluates to true.

The rules used by Nitrous appear in Figure addmult1. They are simpler and more general because they do not maintain normal form (recall that a cyclic value {angle {b} {m q} {r}} is in normal form if 0 \\leq r < b). Without further adjustment, use of the new addition rule would result in frequent non-termination because there is no case that emits dynamic additions. To compensate, cyclic values are returned to normal form at memo points: I call this late normalization of cyclic values. The extra information propagated by this technique (early-equality through fixed points) is required to handle multiple overlapping streams of data.

Nitrous implements this as follows. When a compiler begins to make a dynamic code block, all cyclic values are normalized by adjusting r and emitting counter-acting additions to q. The sharing between these values must be maintained across this adjustment. Identifying all cyclic values is difficult because they may be hidden in the stack or closures, see Section ss.

Store Caching

So far we have only considered reading from memory, not writing to it. Storing samples is more complicated than loading for two reasons: an isolated store requires a load as well as a store, and optimizing stores most naturally requires information to move backwards in time. This is because if we read several words from the same location, then the reads after the first are redundant. But if we store several words to the same location, all writes before the last write are redundant.

We can implement store_word_c the same way a hardware write-back cache does ([HePa90] page 379 in the second edition): cache lines are extended with a dirty flag; stores only go to memory when a cache line is discarded. The time problem above is solved by buffering the writes.

The load is unnecessary if subsequent stores eventually overwrite the entire word. I achieved this by extending the functionality of the cache to include not just dirty lines, but partially dirty lines (this is sometimes called sectoring) Thus the status of a line may be either clean or a mask indicating which bits are dirty and which are not present in the cache at all. When a clean line is flushed no action is required. If the line is dirty and the mask is zero, then the word is simply stored. Otherwise a word is fetched from memory, bit-anded with the mask, bit-ored with the line contents, and written to memory. Note that the masks in the cache lines imply that the implementation substrate support native-sized integers.

Here is an example. Figure ramp shows code that stores an increasing series of integers into every sample of a signal. Figure ramp0088 shows the result of specializing it to a case where loads are unnecessary. Figure ramp00816 shows the result when the stores are non-continuous, resulting in a different expansion of the flush_line procedure (see Appendix cache). In these figures, the delaying effect of the cache on writes has been removed to make the code clearer. Actual residual code from Nitrous for the continuous case appears in Figure ramp0088r. Note how the dynamic part of cache appears as arguments to procedures, and the duplication of the procedure into entry and steady-state (write-pending) versions.


fun ramp (from, to, size, stride, i) =
  if from = to then () else
  (store_sample(from, size, i);
   ramp (from+stride, to, size, stride, i+1))

Figure ramp: Fill a signal with a ramp (sequential integers).


fun ramp_0088 (from, to, i) =
  if from = to then () else
  let i1 = i+1     i2 = i1+1
      i3 = i2+1    i4 = i3+1
  (store_word(from, i | i1<<8 | i2<<16 | i3<<24);
   ramp_0088 (from+1, to, i4))

Figure ramp0088: Specialized to continuous writes avoids loads.


fun ramp_00816 (from, to, i) =
  if from = to then () else
  let i1 = i+1     i2 = i1+1
  (store_word(from, ((load_word from) & 0xff00ff00) 
                    | i | i1<<16);
   ramp_00816 (from+1, to, i2))

Figure ramp00816: Specialized to signal with gaps, masked loads appear.


ramp_0088(k from to i) {
  if (from = to) (car k)()
  let i1 = i+1     i2 = i1+1
      i3 = i2+1    i4 = i3+1
  ramp2(k from+1 to i4 from
        (i<<0 | i1<<8 | i2<<16 | i3<<24))
}

ramp2(k from to i a v) { if (from = to) (store_word(a, v); (car k)()) let i1 = i+1 i2 = i1+1 i3 = i2+1 i4 = i3+1 store_word(a, v); ramp2(k from+1 to i4 from (i<<0 | i1<<8 | i2<<16 | i3<<24)) }


Figure ramp0088r: Actual residual code from Nitrous in root showing threading of dynamic part of cache. The cache is held in the variables a and v. The notation is the intermediate language described in Section
il.

Correctness

This section discusses (but does not prove) the correctness of \\cal{}S and of bit-addressing. In the introduction, I claimed that specialization ``preserves the semantics'' of programs. Thus the standard measure of correctness of specializers is satisfaction of the first Futamura projection:

{semantic-brackets {m f}} {m x} {m y} {m =_\\alpha} {semantic-brackets {semantic-brackets {m spec}} {m f} {m x}} {m y}

Note that this is a strong notion of correctness, defined by equivalence of terms. [GoJo91] contains such a proof for \\lambda-mix where the equivalence permits \\alpha-conversion (renaming variables). A similar proof for \\cal{}S would be unremarkable, except for the handling of the extension for cyclic integers. Here, the proof would use algebraic properites of the rules in Figures addmult0 and morerules. Because \\cal{}S's rules for division and remainder may report errors, and because \\cal{}S may not terminate, we can only prove partial equivalence, that is, if both sides of the equation are defined, then they are equivalent (up to \\alpha-conversion). Note that the correctness of polyvariant specialization and memoization has so far remained unaddressed.

Safe handling of side-effects requires maintaining the order of computations. I believe the standard solution of let-insertion [BoDa91] could be incorporated to \\cal{}S without problems. Nitrous preserves order of computation because it processes programs in continuation-passing style.

However, treating memory operations as generic side-effects is too restrictive (an exception is when the memory is mapped to an I/O device). Show that bit-addressing is correct requires proving that the cache preserves the ordinary semantics of a memory system[footnote: The ordinary semantics of memory guarantee that reading location p returns the last value written to location p.]. Proofs of this kind are standard and, with one exception, I see no problem developing one for a software cache.

The problem stems from the conservative early equality. Correctness depends either on finding some way to guarantee negative may-alias information, or a relaxed definition of correctness. One way to make the guarantee is to dynamically verify pointer inequality (for example, before entering a loop). If the data layout is irregular then maintaining the guarantee is very difficult. Until an inexpensive way to make guarantees is found, I choose to live dangerously.

Correctness of sharing is part of the satisfaction of the Futamura projection given above.

Late normalization is more interesting. Showing that the modified rules of Figure addmult1 are algebraically correct is not hard. The danger of late normalization is non-termination, so a proof of partial equality is not revealing. The useful proof is that late normalization does not introduce non-termination.

Limitations

Specialization, as described in Chapter pe and extended in Chapter bit-addr, is unable to perform many useful optimizations. This section give some examples and suggests how to achieve them.


f : a -> c
g : c -> b
l : a list
map : (a -> b) -> a list -> b list

map f (map g l) --> map (f o g) l


Figure dforest: Deforestation transforms a two-pass procedure to a one-pass procedure. Infix composition of functions is denoted with o, as usual.

An important transformation on programs that process streams of data is loop fusion. In the functional language community, a general form of this optimization is known as deforestation [Wadler88]. This transformation eliminates intermediate data structures, as illustrated in Figure dforest. Furthermore, optimizing compilers for numerical and data-parallel languages such as High Performance Fortran and NESL perform extensive analysis to determine how to divide the computation into passes, layout the data-structures in memory, and coordinate multiple processors [SSOG93, ChaBleFi91].

Partial evaluation alone does not solve these problems. Specializing map f (map g l) has no effect. Instead, my approach is to specify procedures directly in one pass, and use specialization to efficiently implement (f o g). Similarly, I believe specialization could be effective as a middle stage in such a compiler.


Another important kind of code one would like to remove is clipping and array-bounds checks. For example, frequently one can guarantee that some raster operations will be unobscured and in-bounds, and thus avoid clipping operations. The natural way to handle this with a specializer is to propagate additional static information. For example, one might statically know that 10 < i < 100. As usual, this can be done by manual binding-time improvement or by improving the specializer. The latter route leads to the technique of generalized partial computation [FuNoTa91, SoGluJo96], wherein PE is extended with a theorem prover.


Say we wrote bitcopy in bit-serial fashion, as in Figure bsbc. The rules of this chapter produce (assuming an 8-bit word for brevity) the obviously inefficient code in Figure bc8.


fun bitcopy (start, stop, start0) =
  if start=stop then ()
  (store_sample(start0, 1, load_sample(start, 1));
   bitcopy(start+1, stop, start0+1))

Figure bsbc: Bit-serial copy.


fun bitcopy_000(start, stop, start0) =
  if start=stop then ()
  let v = load_word(start)
  store_word(start0, (v&1) | (((v>>1)&1)<<1)
                   (((v>>2)&1)<<2) | (((v>>3)&1)<<3) |
                   (((v>>4)&1)<<4) | (((v>>5)&1)<<5) |
                   (((v>>6)&1)<<6) | (((v>>7)&1)<<7));
   bitcopy_000(start+1, stop, start0+1)

Figure bc8: Residual code with 8-bit word-size showing redundant un/marshall.

The problem is that the source program uses a single bit of the input stream as an intermediate value. The bits are then just reassembled into words. There appear to be two parts to the problem: tracking where individual bits of data go, and then when a word is finally really needed, determining how to assemble that bit-pattern with available hardware (in the above case, it would determine that no work at all is needed).

We now speculate on how to provide this optimization with a specializer. Introduce a new binding time, that is another kind of partially static integer: masked. The static part includes a mask indicating which bits are known, what those bits are, and source information for each dynamic bit. Operations such as shifting and masking can then be performed statically, simply by rearranging the dynamic bits. When one of these values is passed to an unknown primitive, it is lifted to a simple value, and the assembly routine is invoked.

Summary

This chapter added cyclic integers to the specializer from the last chapter. Use of these partially static integers combined with the memoization results in smart loop unrolling. In order to optimize memory operations with stores, we implement a cache in software. The cache is controlled by aliasing information in the compiler. Together, these allow us to write signal processors independent of the signal's representation (at least, relativly independent when compared to other languages). The results of building some software with this kind of interface appears in Chapter benchmarks. The next chapter (Chapter system) explains how the Nitrous implementation works in detail.